|
 |
 |
|
|
|
| 概 述 |
本系列泵属单级单吸悬臂式离心泵,过流部分采用钢衬超高分子量聚乙烯(UHMWPE).该材质是目前国际上新代的泵用耐腐耐磨工程塑料,其 突出的特点是在所有的塑料中它具有优异的耐磨性、耐冲击性(尤其是耐低温冲击)抗蠕变性(耐环境应力开裂)和极好的耐腐蚀性。
该泵显著功能是:多功能,即一种泵能适应各种不同的工况,如输送酸,碱性清液或料浆;冶炼行业各种腐蚀性矿浆;硫酸行业各类稀酸;环保行业各类污水等。该泵既耐腐蚀又耐磨损,使用范围十分广泛。 |
| (一)主要技术性简述 |
1.型号:FIU系列
2.特点:耐腐耐磨,一泵多用,酸碱类清夜料浆均适用。
3.结构: (1)泵体为超高分子量聚乙烯模压成型,使用寿命是普通衬套泵的5~6倍。衬层厚8~20mm。
(2)叶轮分开式,闭式两种,可根据介质状况任选。
(3)密封:K型动力密封。
4.适用介质:浓度80%以下硫酸,50%以下硝酸,各种浓度的盐酸,液碱,既适用清液也适用料浆。
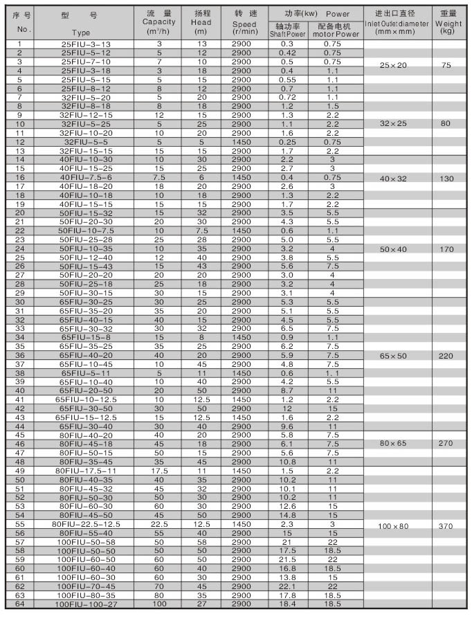
5.主要技术参数:适用温度-20°C~80°C(对特殊要求、使用改性材质,可提高105°C) 进口∮32mm~∮250mm,流量5~600M3/h,扬程50m以内。 |
| 性能参数 |
 |
 |
|
|
|